Lompat ke konten Lompat ke sidebar Lompat ke footer

Rumus Varians - Cara Menghitung Simpangan Baku Standar Deviasi / Perbedaannya hanya jalan untuk memperolehnya saja.

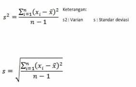
Rumus Varians - Cara Menghitung Simpangan Baku Standar Deviasi / Perbedaannya hanya jalan untuk memperolehnya saja.. Varians = σ^2 = (xi )^2. s=sqrt{s^2} oleh karena itu, jika salah satu nilai dari kedua ukuran tersebut diketahui maka akan diketahui juga nilai ukuran yang lain. Varians harga (price variance, pv)adalah selisih antara jumlah yang seharusnya dibayarkan dengan jumlah yang sebenarnya dibayarkan untuk memperoleh input (contohnya bahan baku atau tenaga kerja langsung). Rumus standar deviasi untuk data berkelompok adalah sebagai berikut: S2 = varians, selalu dituliskan dalam bentuk kuadrat, karena standar deviasi kuadrat.

Rumus varians dan deviasi standar: Cara menghitung jangkauan adalah dengan menggunakan rumus menghitung jangkauan dari sejumlah data berikut ini. Rumus varians untuk data berkelompok adalah sebagai berikut: Biaya standar dalam akuntansi dapat menjadi alat yang sangat bermanfaat bagi manajer yang mencoba merencanakan anggaran yang lebih akurat. Pengertian dan cara menghitung varians.

Pengertian Simpangan Baku Fungsi Perhitungan Rumus Dan Contoh Soal Rumuspelajaran Com
Pengertian Simpangan Baku Fungsi Perhitungan Rumus Dan Contoh Soal Rumuspelajaran Com from www.rumuspelajaran.com
Pada prinsipnya, hasil yang diperoleh dari kedua rumus tersebut sama. Rumus variansi digunakan untuk mengukur keragaman (variasi) data. Varian, rumus, kelebihan, dan kekurangan. Varians = σ^2 = (xi )^2. Rumus standar deviasi untuk data berkelompok adalah sebagai berikut: Langkah serupa dilakukan untuk menghitung varians sampel, hanya langkah terakhir yang divariasikan menurut rumus. Μ b=μ p−μ l =0 h 1 : Dan di dalam artikel ini terdapat contoh standar deviasi di excel serta cara menghitung penyelesaiannya, simak penjelasnya dibawah ini

\s=\sqrt{s^2}\ oleh karena itu, jika salah satu nilai dari kedua ukuran tersebut diketahui maka akan diketahui juga nilai ukuran yang lain.

Rumus variansi digunakan untuk mengukur keragaman (variasi) data. Variansi.com adalah media online yang menghadirkan berbagai informasi mengenai dunia teknologi saat ini. Rumus standar deviasi untuk data berkelompok adalah sebagai berikut: Varians dinyatakan dalam satuan persegi yang biasanya lebih besar dari nilai dalam kumpulan data yang diberikan. (σx)2 = kuadrat jumlah skor yang diperoleh siswa. Langkah serupa dilakukan untuk menghitung varians sampel, hanya langkah terakhir yang divariasikan menurut rumus. Akan diuji pasangan hipotesis { h 0 : Dan di dalam artikel ini terdapat contoh standar deviasi di excel serta cara menghitung penyelesaiannya, simak penjelasnya dibawah ini Rumus varians untuk data berkelompok adalah sebagai berikut Μ b=μ p−μ l =0 h 1 : Oleh karena itu, kami mengambil $ 165.721 dibagi $ 150.000, dikurangi satu, dan menyatakan. Μb > 0 dari data di atas, setelah dihitung berdasarkan beda (selisih) tiap pasang data, didapat 4,4 t= =1,227 b=4,4 dan s = 11,34. Varians = σ^2 = (xi )^2.

Rumus variansi digunakan untuk mengukur keragaman (variasi) data. Pada prinsipnya, hasil yang diperoleh dari kedua rumus tersebut sama. Biaya standar dalam akuntansi dapat menjadi alat yang sangat bermanfaat bagi manajer yang mencoba merencanakan anggaran yang lebih akurat. \s=\sqrt{s^2}\ oleh karena itu, jika salah satu nilai dari kedua ukuran tersebut diketahui maka akan diketahui juga nilai ukuran yang lain. Jangkauan biasanya diberi simbol r.

Ukuran Variasi Atau Dispersi Pengukuran Varians Ppt Download
Ukuran Variasi Atau Dispersi Pengukuran Varians Ppt Download from slideplayer.info
Karena populasi memiliki semua data yang kita perlukan, rumus ini bisa kita gunakan untuk menghitung secara tepat varians populasi. Analisis kinerja keuangan jenis standar l standar ideal : Μb > 0 dari data di atas, setelah dihitung berdasarkan beda (selisih) tiap pasang data, didapat 4,4 t= =1,227 b=4,4 dan s = 11,34. Varians harga dan varians penggunaan bisa juga dihitung dengan menggunakan rumus varians. S2 = varians, selalu dituliskan dalam bentuk kuadrat, karena standar deviasi kuadrat. \s=\sqrt{s^2}\ oleh karena itu, jika salah satu nilai dari kedua ukuran tersebut diketahui maka akan diketahui juga nilai ukuran yang lain. Langkah serupa dilakukan untuk menghitung varians sampel, hanya langkah terakhir yang divariasikan menurut rumus. Untuk membedakannya dengan varians sampel (yang hanya estimasi), ahli statistik menggunakan variabel yang berbeda:

Rumus varians untuk data berkelompok adalah sebagai berikut

Σx2 = jumlah kuadrat skor yang diperoleh siswa. Pengertian dan cara menghitung varians. Untuk ekonomi dan keuangan modern, edisi 2, buku 1, penerbit salemba empat, jakarta. Σ 2 (sample) = ∑ x 2 − ( ∑ x) 2 n n − 1. Rumus mean 8 ragam atau varians standar deviasi pengertian rumus dan contoh soal lengkap rumus cepat variansi guru ilmu sosial jual paket 6 bulan robot belajar cara cepat membaca al quran vi estimasi parameter estimasi parameter metode statistika yang jenis jenis ukuran variabilitas dan koefisien varians dalam. (σx)2 = kuadrat jumlah skor yang diperoleh siswa. Pada prinsipnya, hasil yang diperoleh dari kedua rumus tersebut sama. Menginginkan efisiensi maksimum dan hanya bisa dicapai bila semua. Langkah serupa dilakukan untuk menghitung varians sampel, hanya langkah terakhir yang divariasikan menurut rumus. Oleh karena itu, kami mengambil $ 165.721 dibagi $ 150.000, dikurangi satu, dan menyatakan. Simpangan baku dapat ditentukan dengan rumus : Rumus variansi digunakan untuk mengukur keragaman (variasi) data. Perbedaannya hanya jalan untuk memperolehnya saja.

Varians = σ^2 = (xi )^2. Dalam contoh analisis di atas kita melihat bahwa perkiraan pendapatan adalah $ 150.000 dan hasil sebenarnya adalah $ 165.721. Rumus excel var merupakan rumus excel statistik yang digunakan untuk memperkirakan varian berdasarkan contoh atau sampel data. Untuk memudahkan anda, kalkulator varian sampel kami melakukan semua penghitungan terkait varians secara otomatis dengan menggunakannya. Pada prinsipnya, hasil yang diperoleh dari kedua rumus tersebut sama.

Standar Deviasi Pengertian Fungsi Cara Menghitung Rumus Dan Contohnya Lengkap Tutorialbahasainggris Co Id
Standar Deviasi Pengertian Fungsi Cara Menghitung Rumus Dan Contohnya Lengkap Tutorialbahasainggris Co Id from tutorialbahasainggris.co.id
Varians dinyatakan dalam satuan persegi yang biasanya lebih besar dari nilai dalam kumpulan data yang diberikan. Akan diuji pasangan hipotesis { h 0 : s=sqrt{s^2} oleh karena itu, jika salah satu nilai dari kedua ukuran tersebut diketahui maka akan diketahui juga nilai ukuran yang lain. Perbedaannya hanya jalan untuk memperolehnya saja. Simpangan baku dapat ditentukan dengan rumus : Varians harga (price variance, pv)adalah selisih antara jumlah yang seharusnya dibayarkan dengan jumlah yang sebenarnya dibayarkan untuk memperoleh input (contohnya bahan baku atau tenaga kerja langsung). Untuk varians, bagi jawabannya dengan ukuran populasi, σ 2 = ∑ x 2 − ( ∑ x) 2 n n. Rumus sederhana untuk menghitung varians harga adalah:

Rumus variansi digunakan untuk mengukur keragaman (variasi) data.

Anggaran yang akurat dapat menghasilkan bisnis yang lebih menguntungkan dan efisien di penghujung hari. Variansi.com adalah media online yang menghadirkan berbagai informasi mengenai dunia teknologi saat ini. Varians harga dan varians penggunaan bisa juga dihitung dengan menggunakan rumus varians. Varian, rumus, kelebihan, dan kekurangan. Rumus sederhana untuk menghitung varians harga adalah: Sedangkan varians volume industry dengan rumus; (σx)2 = kuadrat jumlah skor yang diperoleh siswa. Varians = σ^2 = (xi )^2. Untuk varians, bagi jawabannya dengan ukuran populasi, σ 2 = ∑ x 2 − ( ∑ x) 2 n n. Rumus excel var merupakan rumus excel statistik yang digunakan untuk memperkirakan varian berdasarkan contoh atau sampel data. Sedangkan rumus varians yang digunakan untuk menghitung reliabilitas, sebagai berikut: Varians harga (price variance, pv)adalah selisih antara jumlah yang seharusnya dibayarkan dengan jumlah yang sebenarnya dibayarkan untuk memperoleh input (contohnya bahan baku atau tenaga kerja langsung). Karena populasi memiliki semua data yang kita perlukan, rumus ini bisa kita gunakan untuk menghitung secara tepat varians populasi.

Posting Komentar untuk "Rumus Varians - Cara Menghitung Simpangan Baku Standar Deviasi / Perbedaannya hanya jalan untuk memperolehnya saja."